Symmetrisches Matrizeneigenwertproblem (Bsp.)

Knickung eines Stabes unter Eigengewicht

Beispiel 3 Im Kapitel 23 des Lehrbuchs "Dankert/Dankert: Technische Mechanik" wird folgende Aufgabe formuliert:

Der skizzierte Stab ist nur durch sein Eigengewicht belastet. Es soll ermittelt werden, bei welcher kritischen Länge er allein durch die Eigengewichts-Belastung knickt.

Gegeben:   EI ,   Dichte ρ ,   Querschnittsfläche A .

Die Lösung wird mit dem Differenzenverfahren auf der Basis der Differenzialgleichung 4. Ordnung für den Knickstab erreicht: Der Stab wird in nA äquidistante Abschnitte unterteilt, es entstehen nA − 1 Punkte im Inneren des Stabs, für die die Differenzenformeln aufgeschrieben werden. In diese Gleichungen gehen auch die Rand- und Außenpunkte ein, die mit Hilfe der Randbedingungen eliminiert werden können.

Dieser Weg wird im Lehrbuch ausführlich beschrieben. Nach etwas mühsamer (aber nicht sehr schwieriger) Rechnung entsteht ein Matrizeneigenwertproblem. Für nA = 8 sieht es zum Beispiel so aus:

Matrizeneigenwertproblem

Nach dem Start des Programms "Symmetrisches Matrizeneigenwertproblem" wird als Eingabeschema "... allgemeines Matrizeneigenwertproblem" gewählt und für die Zeilen-/Spalten-Anzahl wird n = 7 eingegeben:

Einstellungen

Nach Anklicken von "OK" erweitert sich das Eingabeschema entsprechend, und die Matrizen können eingegeben werden. Danach wird "Rechnung starten" gewählt, und der Bildschirm sollte so aussehen:

Ergebnis

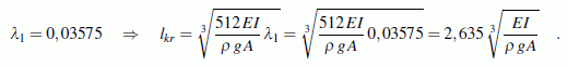
Die oben angegebene Formel für λ wird nach l umgestellt. Wenn dann der kleinste Eigenwert eingesetzt wird, erhält man die gesuchte kritische Stablänge:

Kritische Länge