Lineares Gleichungssystem - Beispiel

Beispiel 2 Beispiel 3: Im Kapitel 19 des Lehrbuchs "Dankert/Dankert: Technische Mechanik" wird folgende Aufgabe formuliert, die mit Hilfe der Angebote "Lineares Gleichungssystem" und "Funktionsauswertung" unter TM-interaktiv gelöst werden soll:

Für den skizzierten elastisch gebetteten Träger ist der Verlauf der Biegelinie (Funktion der Vertikalverschiebung v(z) der Trägermittellinie) zu bestimmen.

Gegeben:     

Es wird gezeigt, dass für v(z) die folgende Funktion gilt (v zählt positiv nach unten):

Die Integrationskonstanten C1 bis C4 werden mit Hilfe der Randbedingungen berechnet. Diese ergeben ein lineares Gleichungssystem:

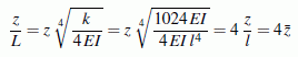
Der in den Gleichungen mehrfach vorkommende Quotient l/L berechnet sich mit den gegebenen Werten zu:

Damit kann das Gleichungssystem in das Programm "Lineares Gleichungssystem, Matrixinversion" eingegeben werden. Zunächst wird die Konstante ldL=4 ("l durch L") definiert. Weil das Gleichungssystem in Matrixform vorliegt, wird auf dieses Eingabeschema umgestellt. Die Anzahl der Gleichungen auf 4 geändert. Nach Anklicken von "OK" ändert sich das Eingabeschema entsprechend.

Achtung: Mit der Kombination aus Exponentialfunktion und Winkelfunktionen kann nur mit Bogenmaß gearbeitet werden, deshalb Umstellung auf "Radian". Nun kann das Gleichungssystem eingegeben werden. Nachdem auf "Gleichungssystem" geklick wurde, sieht der Bildschirm so aus:

Beispiel 3, Eingabe und Lösung

Nun soll noch gezeigt werden, wie diese Ergebnisse in das Programm "TM-Mathe-Rechner (Funktionen analysieren)" übernommen werden können, um dort die Biegelinie grafisch darzustellen. Unterhalb der Anzeige der Ergebnisse findet man ein Feld mit den kompakt angeordneten Ergebnissen und den definierten Konstanten:

Wie man sieht, liegt bereits der Fokus auf diesem Feld (wenn man nach der Rechnung nicht in einen anderen Bereich geklickt hat), so dass man den Inhalt direkt mit Ctrl-c (Strg-c) in die Zwischenablage befördern kann.

Nach dem Start von "TM-Mathe-Rechner (Funktionen analysieren)" (am besten in einem anderen Browser-Tab oder einem anderen Browser-Fenster) liegt dort der Fokus automatisch auf dem Eingabefeld, so dass man direkt mit Ctrl-v (Strg-v) die Werte aus der Zwischenablage dort einbringt. Nach Klicken auf "Konstante" oder durch Drücken der Enter-Taste werden alle übernommenen Werte als Konstanten definiert. Nebenstehend sieht man die so entstandene Situation.

Es bietet sich an, in der Funktion der Biegelinie auf eine dimensionslose unabhängige Variable z/L überzugehen. Mit

lautet die Biegelinie:

Diese Funktion wird grafisch dargestellt, indem zunächst die unabhängige Variable auf zq ("z-quer") umgestellt und danach die Funktion vq=1+exp(4*zq)*[C1*cos(4*zq)+C2*sin(4*zq)]+exp(-4*zq)*[C3*cos(4*zq)+C4*sin(4*zq)] eingegeben wird. Die Grenzen für die grafische Darstellung werden auf zqAnf=0 bzw. zqEnd=1 eingestellt. Nach Wahl von "Grafische Darstellung" in der Auswahlbox "Aktionen mit Funktionen" sieht der Bildschirm so aus:

Die Biegeverformung wird in der Technischen Mechanik üblicherweise nach unten positiv gezählt, deshalb sieht die Grafik oben mit der nach oben positiv gerichteten Ordinate "etwas komisch" aus. Rechts sieht man eine optisch vertrautere Darstellung einer Funktion vqm=−vq.