
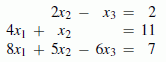
Beispiel 1: Das nebenstehende lineare Gleichungssystem
mit drei Unbekannten passt genau in das Eingabeschema, das beim
Start des Programms erscheint. Es wird gelöst, indem man zunächst
die Zahlenwerte
in das Schema einträgt (Tipp: Eingabe
eines Wertes mit der Tab-Taste lässt den Cursor in das jeweils
nächste Feld springen). Wenn die Eingabe komplett ist, wird der
Button "Gleichungssystem lösen" angeklickt, und das Ergebnis wird
angezeigt. Hier findet man einen
Schnappschuss des Bildschirms
mit ausgefülltem Eingabeschema und Ergebnis.
Beispiel 2: Im Kapitel 6 des Lehrbuchs
"Dankert/Dankert:
Technische Mechanik"
wird folgende Aufgabe formuliert:
Die skizzierte Arbeitsbühne ist durch die Kraft F belastet. Man ermittle die durch F hervorgerufenen Lagerreaktionen bei A, die Kräfte in den Stäben 1 und 2 und die Seilkraft FS.
Gegeben: a , F , α = 50° .
Entsprechend nebenstehender Schnittskizze lassen sich 6 Gleichgewichtsbedingungen an den beiden Teilsystemen formulieren. Zur Vereinfachung wird der (durch die Abmessungen bekannte) Winkel β eingeführt, der sich aus tan β = a/(2a) = 0,5 berechnen lässt.
Es wird gezeigt, dass sich die Abmessung a aus allen Gleichungen herauskürzt und die Gleichgewichtsbedingungen sich schließlich zu folgendem linearen Gleichungssystem zusammenfassen lassen, in dem die Kraft F als gemeinsamer Faktor auf der rechten Seite steht, so dass auch dafür kein Zahlenwert für eine numerische Lösung erforderlich ist (man muss natürlich alle Ergebnisse mit F multiplizieren):
Rechts neben dem Gleichungssystem sieht man die mit dem Programm berechnete Lösung. Hier findet man die komplette Beschreibung der Berechnung des Gleichungssystems mit der zusätzlichen Demonstration, wie auf einfache Weise Variantenrechnungen zu realisieren sind.
Beispiel 3: Im Kapitel 19 des Lehrbuchs
"Dankert/Dankert:
Technische Mechanik"
wird folgende Aufgabe formuliert, die mit Hilfe der
Angebote "Lineares Gleichungssystem" und "Funktionsauswertung"
unter TM-interaktiv
gelöst werden soll:
Für den skizzierten elastisch gebetteten Träger ist der Verlauf der Biegelinie (Funktion der Vertikalverschiebung v(z) der Trägermittellinie) zu bestimmen.
| Gegeben: |
Es wird gezeigt, dass für v(z) die folgende Funktion gilt (v zählt positiv nach unten):
Die Integrationskonstanten C1 bis C4 werden mit Hilfe der Randbedingungen berechnet. Diese ergeben ein lineares Gleichungssystem:
Hier findet man die komplette Beschreibung der Lösung des Gleichungssystems mit dem Programm "Lineares Gleichungssystem, Matrixinversion" mit der zusätzlichen Demonstration, wie die Ergebnisse in das Programm "Funktionen analysieren" übertragen werden, um dort die Biegelinie grafisch darzustellen.